Σε συνεχή και ολοένα αυξανόμενη ανοδική πορεία παραμένει ο ασφαλιστικός κλάδος στην Κύπρο, αποδεικνύοντας και επαναβεβαιώνοντας τη μεγάλη δυναμική, αλλά και ανθεκτικότητά του. Το γεγονός αυτό επιβεβαιώνουν με τον πλέον ξεκάθαρο τρόπο τα στατιστικά αποτελέσματα του Συνδέσμου Ασφαλιστικών Εταιρειών Κύπρου (ΣΑΕΚ) για το πρώτο εξάμηνο του 2025, τα οποία επεξεργάστηκε και παρουσιάζει το InBusinessNews.
Με βάση τα στοιχεία, ιδιαίτερο ενδιαφέρον προσελκύει και η μάχη μεταξύ Τράπεζας Κύπρου και Eurobank, η οποία μετά τις κινήσεις εξαγοράς της Εθνικής Ασφαλιστικής από την πρώτη και της CNP Κύπρου από τη δεύτερη, επεκτείνεται πλέον και στον τομέα των Ασφαλειών.
Κλάδος Ζωής
Σε ό,τι αφορά τον κλάδο ζωής, σύμφωνα με τα στοιχεία του ΣΑΕΚ το σύνολο των μικτών ασφαλίστρων συμπεριλαμβανομένων των ασφαλίστρων ατυχημάτων και υγείας από εταιρείες Ζωής, ανήλθαν το πρώτο εξάμηνο στα €423.034.711 σε σχέση με €378.780.503 την περίοδο Ιανουαρίου-Ιουνίου του 2024, παρουσιάζοντας άνοδο της τάξεως του 11,7%.
Από περαιτέρω ανάλυση των ίδιων στοιχείων προκύπτει ότι, το μεγαλύτερο μερίδιο στα ασφάλιστρα Ζωής κατέχει η Eurolife (30,8%) με €130,5 εκατ. σε σχέση με €110,3 εκατ. το πρώτο εξάμηνο του 2024, καταγράφοντας αύξηση 18,2%.
Στην δεύτερη θέση βρίσκεται η ERB Cyprialife, κατέχοντας το 21,3% των ασφαλίστρων, τα οποία ανήλθαν στα €90,3 εκατ. το πρώτο εξάμηνο σε σχέση με €84,6 εκατ. την αντίστοιχη περσινή περίοδο, σημειώνοντας αύξηση 6,7%, ενώ στην τρίτη θέση βρέθηκε η Universal Life (15,1%) της οποίας τα ασφάλιστρα Ζωής ανήλθαν στα €66,3 εκατ. σε σχέση με €56,3 εκατ. το 2024, καταγράφοντας αύξηση 17,9%.
Στην τέταρτη θέση βρέθηκε η Metlife (9%) με €38,3 εκατ. σε σχέση με €32,3 εκατ. το πρώτο εξάμηνο του 2024, καταγράφοντας αύξηση της τάξεως του 18,3%, ενώ την πρώτη πεντάδα συμπλήρωσε η Ancoria (6,3%) με €26,6 εκατ. σε σχέση με €31,5 εκατ. την περίοδο Ιανουαρίου-Ιουνίου 2024, καταγράφοντας μείωση της τάξεως του 15,4%.
Αναλυτικά τα μερίδια ανά ασφαλιστική εταιρεία στον ακόλουθο πίνακα:
Εξαιρουμένων ασφαλίστρων ατυχημάτων και υγείας
Εξαιρουμένων, δε, των ασφαλίστρων ατυχημάτων και υγείας από εταιρείες Ζωής, τα συνολικά ασφάλιστρα του κλάδου ζωής ανήλθαν το πρώτο εξάμηνο του έτους στα €363.938.670 σε σχέση με €322.907.257 την αντίστοιχη περσινή περίοδο, σημειώνοντας αύξηση 12,7%.
Από ανάλυση των στοιχείων προκύπτει πως, και σε αυτή την περίπτωση το μεγαλύτερο μερίδιο κατέχει η Eurolife σε ποσοστό 32,1% με τα ασφάλιστρα να φθάνουν τα €116,6 εκατ. σε σχέση με €97,2 εκατ. το πρώτο εξάμηνο του 2024, παρουσιάζοντας αύξηση 20%.
Στην δεύτερη θέση διατηρήθηκε και η ERB Cyprialife, κατέχοντας το 22,5% των ασφαλίστρων, τα οποία ανήλθαν στα €81,9 εκατ. σε σχέση με €76,7 εκατ. το πρώτο εξάμηνο του 2024, καταγράφοντας αύξηση 6,8%, ενώ στην τρίτη θέση βρέθηκε η Universal Life (12%) της οποίας τα ασφάλιστρα άγγιξαν τα €43,8 εκατ. σε σχέση με €35 εκατ. την περίοδο Ιανουαρίου-Ιουνίου 2024, σημειώνοντας αύξηση 25,3%.
Στην τέταρτη θέση βρέθηκε η Ancoria (7,3%) με €26,6 εκατ. σε σχέση με €31,5 εκατ. το πρώτο εξάμηνο του 2025, καταγράφοντας μείωση 15,4%, ενώ την πρώτη πεντάδα συμπλήρωσε η Hellenic (7,1%) με 25,7 εκατ. σε σχέση με €23,7 εκατ. το πρώτο εξάμηνο του 2024, παρουσιάζοντας αύξηση της τάξεως του 8,5%.
Αναλυτικά τα μερίδια ανά ασφαλιστική εταιρεία στον ακόλουθο πίνακα:
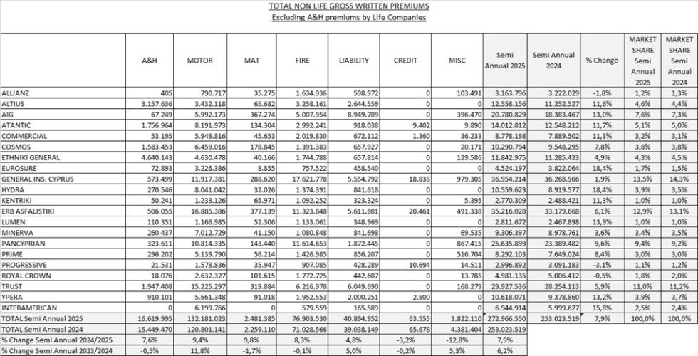
Η πορεία του γενικού κλάδου
Όσον αφορά τον γενικό κλάδο, το σύνολο των μικτών ασφαλίστρων εξαιρουμένων των ασφαλίστρων ατυχημάτων και υγείας από εταιρείες Ζωής, ανήλθαν το πρώτο εξάμηνο του 2025 στα €272.966.550 σε σχέση με €253.023.519 την αντίστοιχη περσινή περίοδο, παρουσιάζοντας αύξηση 7,9%.
Από ανάλυση των στοιχείων προκύπτει πως, το μεγαλύτερο μερίδιο σε ασφάλιστρα γενικού κλάδου, εξαιρουμένων ασφαλίστρων ατυχημάτων και υγείας από εταιρείες Ζωής, κατέχουν οι Γενικές Ασφάλειες Κύπρου (13,5%) με €37 εκατ. σε σχέση με €36,3 εκατ. το πρώτο εξάμηνο του 2024, παρουσιάζοντας αύξηση 1,9%.
Στην δεύτερη θέση βρέθηκε η ERB Asfalistriki (12,9%) με €35,2 εκατ. σε σχέση με €33,2 εκατ. το πρώτο εξάμηνο του 2024, παρουσιάζοντας αύξηση 6,1%, ακολουθούμενη από την Trust (11%) με €30 εκατ. σε σχέση με €28,3 εκατ. την περίοδο Ιανουαρίου-Ιουνίου 2024, σημειώνοντας αύξηση 5,9%.
Στην τέταρτη θέση βρίσκεται η Παγκυπριακή (9,4%) με €25,6 εκατ. σε σχέση με €23,4 εκατ. το πρώτο εξάμηνο του 2024, καταγράφοντας αύξηση 9,6%, ενώ την πεντάδα συμπληρώνει η AIG (7,6%) με €20,8 εκατ. σε σχέση με €18,4 εκατ. την περίοδο Ιανουαρίου-Ιουνίου 2024, παρουσιάζοντας αύξηση 13%.
Αναλυτικά τα μερίδια ανά ασφαλιστική εταιρεία στον ακόλουθο πίνακα:







